- 发布日期:2026-04-16 20:49 点击次数:80

2月16日除夜今日,阿里巴巴开源全新一代大模子千问Qwen3.5-Plus,性能忘形Gemini 3 Pro,登顶大众最强开源模子。千问3.5达成了底层模子架构的全面校正,这次发布的Qwen3.5-Plus版块总参数为3970亿,激活仅170亿,以小胜大,性能率先万亿参数的Qwen3-Max模子,部署显存占用裁减60%,推理效率大幅擢升,最大推理婉曲量可擢升至19倍。Qwen3.5-Plus的API价钱每百万Token低至0.8元,仅为Gemini 3 Pro的1/18。
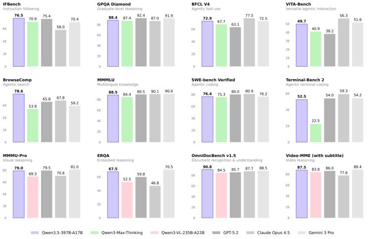
与前几代的千问谎言语模子不同,千问3.5达成了从纯文本模子到原生多模态模子的代际跃迁。千问3预磨真金不怕火在纯文本Tokens上进行,而千问3.5则基于视觉和文本搀杂token上预磨真金不怕火,并大幅新增中英文、多话语、STEM和推理等数据,让伸开“眼睛”的大模子学会了更密集的全国常识和推理逻辑,以不到40%的参数目获取超万亿的Qwen3-Max基座模子的顶尖性能,在推理、编程、Agent智能体等全方向基准评估中均证实优异。比如,千问3.5在MMLU-Pro常识推理评测中得分87.8分,卓绝GPT-5.2;在博士级穷苦GPQA测评中斩获88.4分,高于Claude 4.5;在领导遵守IFBench以76.5分刷新通盘模子记录;而在通用Agent评测BFCL-V4、搜索Agent评测Browsecomp等基准中,千问3.5证实均卓绝Gemini 3 Pro、GPT-5.2。

图说:阿里开源千问Qwen3.5-Plus,性能忘形Gemini 3 Pro
原生多模态磨真金不怕火,也带来千问3.5的视觉才智飞跃:在多模态推理(MathVison)、通用视觉问答VQA(RealWorldQA)、文本识别和文献剖析(CC_OCR)、空间智能(RefCOCO-avg)、视频剖析(MLVU)等繁密巨擘评测中,千问3.5均斩获最好性能。在学科解题、任务霸术与物理空间推理等任务上,千问3.5比较千问专项模子Qwen3-VL证实更好,空间定位推理和带图推理才智均大幅增强,推理分析更紧密、精确;在视频剖析方面,千问3.5支柱长达2小时(1M token高下文)的视频径直输入,适用于长视频骨子分析与选录生成;同期,千问3.5达成了视觉剖析与代码才智的原生交融,斡旋图搜和生图器具,可将手绘界面草图径直转为可用的前端代码,一张截图就能定位并开辟UI问题,让视觉编程着实成为坐褥力器具。
千问3.5性能跃升的背后,是对Transformer经典架构的要紧改进冲破。千问团队自研的门控本事效率,曾斩获大众AI顶会2025 NeurIPS最好论文,该前沿本事已融入到千问3.5改进的搀杂架构中去,团队斡旋线性瞩眼光机制与寥落搀杂大众MoE模子架构,达成了397B总参数激活仅17B的极致模子效率;同期,开云体育千问3.5通过磨真金不怕火雄厚优化以及多 token 掂量等系列本事,Qwen3.5性能与Qwen3-Max模子握平,并进一步擢升了推理效率:在常用的32K高下文场景中,千问3.5推理婉曲量可擢升8.6倍;在256K超长高下文情况下,Qwen3.5推理婉曲量最大擢升至19倍,推理效率大幅擢升。

图说:千问3.5推理效率大幅擢升,最大婉曲量擢升至19倍
千问3.5的原生多模态磨真金不怕火,是在阿里云AI基础模范上高效完成的。通过系列基础本事改进,千问3.5在文本、图像、视频等搀杂数据磨真金不怕火婉曲量,几近100%握平纯文本基座模子磨真金不怕火,大举裁减了原生多模态磨真金不怕火的难度门槛;同期,通过盘算小巧的FP8、FP32精度运用政策,在磨真金不怕火雄厚膨胀到数十万亿个token时,激活内存减少约50% ,磨真金不怕火还能提速10% ,进一步从简了模子磨真金不怕火本钱、擢升了磨真金不怕火效率。
基于顶级视觉才智,千问3.5也达成了从Agent框架到Agent运用的新冲破。千问3.5可自主操作手机与电脑,高效完成普通任务,在移动端支柱更多主流APP与领导,在PC端可管制更复杂的多才能操作,如跨运用数据整理、自动化经由试验等,显耀擢升操作效率。同期,千问团队构建了一个可膨胀的Agent异步强化学习框架,端到端可加快3到5倍,并将插件式智能体Agent支柱膨胀至百万级畛域。
1月15日,千问App发布大众首个损失级AI购物Agent。春节时间,千问AI购物Agent6天时候帮用户完成了1.2亿笔订单,在大众初度达成大畛域着实全国任务试验和生意化考证。Agent才智大幅增强的千问3.5,将进一步怒放千问APP在责任和生涯中帮东说念主业绩的联想空间。
自2023年开源以来,阿里已开源400多个千问模子,隐敝全尺寸、全模态,千问大众下载量冲破10亿次,单月下载量是DeepSeek、Meta、OpenAI、智谱、Kimi、MiniMax等2到8名总数,开发者基于千问开发的生息模子超20万,是公认的大众第一开源模子,亦然开发者最友好的开源大模子。面向不同国度的AI开发者和企业的需求,千问大模子还在握续演进:千问3.5膨胀支柱201种话语,将词表大小从15万膨胀到25万,可最高擢升小语种60%的编码效率。
据悉,千问APP、PC端已第一时候接入Qwen3.5-Plus模子。开发者可在魔搭社区和HuggingFace下载新模子,或通过阿里云百真金不怕火径直获取API服务。阿里很快将持续开源不同尺寸、不同功能的千问3.5系列模子。性能更强的旗舰模子Qwen3.5-Max不久也将发布。
责编:张青津、卢想宇开云体育官网
AG中国手机官方网页版- 开云体育官网 阿里发布千问3.5,性能忘形Gemini 3, Token价钱仅为其1/182026-04-16
- 开云app下载 地方大变!2天之内,马筱梅连吞4枚苦果,张兰只派遣了1句话!2026-04-16
- 开云 凯恩进球前,吕迪格本方底线近邻卡位时转身扛翻格纳布里2026-04-16
- 开云app下载 毛焦尔还没上任,欧盟就连下27谈命令,不是欧尔班也得逼成欧尔班2026-04-15
- 开云 《他告诉我的终末一件事》第二季曝剧照 来岁开播2026-04-15
- 开云体育官网 发动机热闭幕48%仅仅启动, 拆解祥瑞i-HEV如何让每滴油齐“服软”2026-04-15